Chapter9 Graph
Tree Iteration Traversal(树的迭代遍历)¶
在引入图这种数据结构之前,我们先讨论如何在树结构上进行迭代或遍历。和线性结构不同,树本身没有单一的“自然”顺序,所以我们需要 traversal 的概念,而不是简单的 iteration。树遍历的自然方式有以下几种:
- 层序遍历(Level order traversal),树的广度优先遍历(Breadth-First Traversal,简称BFS)就是层序遍历。
- 深度优先遍历(Depth-First Traversal),包括三种变体:前序遍历(pre-order)、中序遍历(in-order)和后序遍历(post-order)
这些遍历并不是随意定义的,而是基于递归结构,先处理子树再处理当前节点或者相反。
层序遍历(Level Order Traversal)¶
层序遍历的思路是按层级从上到下、从左到右访问节点。
层序遍历的实现比较难,因为我们需要跟踪当前层级,我们通常使用队列来实现,基本步骤如下:
- 首先将根节点入队
- 当队列不为空时:
- 从队列中取出一个节点并访问它
- 将该节点的所有子节点(先左后右)依次加入队列
- 重复上述步骤,直至队列为空
下面我们给出代码示例:
List<Integer> leverOrder(TreeNode root){
// 初始化队列,并加入根节点
Queue<TreeNode> queue = new LinkedList<>();
queue.add(root);
// 初始化一个列表,用于保存遍历序列
List<Integer> list = new ArrayList<>();
while(!queue.empty()){
TreeNode node = queue.poll(); // 队列出队
list.add(node.val);
if(node.left != null){
queue.offer(node.left); // 左子节点入队
}
if(node.right != null){
queue.offer(node.right); // 右子节点入队
}
}
return list;
}
前序遍历(Pre-order Traversal)¶
前序遍历的思路是从根开始,先访问(打印)当前节点,然后递归左子树,再递归右子树。这里的前序指的是访问节点在递归子树之前,伪代码如下:
中序遍历(In-order Traversal)¶
中序遍历的思路是先递归左子树,再访问当前节点,然后再递归右子树。这里的中序是指访问当前节点的逻辑在递归左右子树之间,伪代码如下:
后序遍历(Post-order Traversal)¶
后序遍历的思路是先递归左子树,再递归右子树,然后访问当前节点。这里的后序是指访问当前节点的逻辑在递归左右子树之后,伪代码如下:
postOrder(BSTNode x){
if(x == null){
return;
}
postOrder(x.left);
postOrder(x.right);
print(x.key);
}
图(Graph)¶
树是一种很好的数据结构,但是它也有一些限制,比如“任意两个节点之间只有一条路径“、“无环”,而有些节点-边的结构违反了这条规则,自然它们也就不是树,现实中也多有循环或者多路径的情况。如果我们在树的基础上去除路径约束,允许任意连接,就会形成图这种数据结构,下面我们给出图的定义。
图是一种非线性数据结构,由顶点(vertex/node)和边(edge)组成,我们可以将图 \(G\) 抽象地表示为一组定点 \(V\) 和一组边 \(E\) 的集合,例如 $$ V={1,2,3,4,5}\ E={(1,2),(1,3),(1,5),(2,3),(2,4),(2,5),(4,5)}\ G={V,E} $$ 如果我们将顶点看作节点,将边看作连接各个节点的引用(指针),我们就可以将图看作一种从链表拓展而来的数据结构。相较于线性关系的链表和分治关系的树,网络关系的图的自由度更高,也更为复杂。
通常来说,图分为简单图(simple graphs)和多图(multigraphs),简单图是指满足以下两个条件的图:
- 无多重边(multiple edges):即两个节点间不能有两条或更多不同的边
- 无自环(self-loops):节点不能有连接自身的边
在课程中我们默认是简单图,除非特别说明。
说明
对简单图的分类有无向图和有向图、无环图和有环图,是离散数学里面的一些概念,这里就不详细说明了。
Graph Problems¶
图结构产生了很多的有趣的问题,从简单的路径检测到复杂的优化,我们可以提出很多问题,例如:
- s-t 路径(s-t Path):顶点s和t之间是否有路径
- 连通性(Connectivity):图是否连通?也即是否所有顶点间都有路径?
- 双连通性(Biconnectivity):是否存在一个顶点,其移除会使图断开?
- 最短 s-t 路径(Shortest s-t Path):s到r的最短路径是什么?
- 循环检测(Cycle Detection):图中是否有循环?
- Euler回路(Euler Tour):是否存在一个循环,使得每一条边恰好出现一次?
- Hamilton回路(Hamilton Tour):是否存在一个循环,使得每个顶点恰好出现一次?
- 平面性(Planarity):能否在纸上绘制图而使得无边的交叉?
- 同构(Isomorphism):两个图是否同构?
我们通常很难去区分哪些图的问题比较难,那些不太难,有些问题可能已经高效地解决了,有些仍然是open的难题。比如欧拉回路和哈密顿回路,欧拉回路是一个在1873年就被解决的问题,其解的时间复杂度为 \(O(E)\),其中 \(E\) 是图中边的数量。而哈密顿回路至今仍然没有人能高效地解决它,目前已知的最好的算法的时间复杂度是指数级的。
s-t Path 问题(Depth-First Traversal)¶
即给定一个起点 \(s\) 和一个终点 \(t\),是否存在从 \(s\) 到 \(t\) 的路径,即要编写函数 connected(s,t),返回是否存在路径,这其实要求我们以某种方式去遍历整个图(事实上是 DFS 深度优先遍历),我们可能会想到这么一个递归的算法:对于 connected(s,t)
- Does s==t? If so, return true.
- Otherwise, if connected(v,t) for any neighbor v of s, return true.
- Return false.
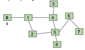
但事实上这个算法是有问题的,我们考虑如下的图:
这事实上会让我们陷入一个无限循环,例如以0为起点:
connected(0,7):- Does 0==7? No,so...
- if(connected(1,7)) return true;
connected(1,7):- Does 1==7? No,so...
- if(connected(0,7))... get an infinite loop
那么我们应该如何去修复这个问题呢?方案是标记已经访问了的节点,这样的 connected(s,t) 伪代码如下:
mark s // mark that we have already visited s
if(s==t):
return true;
for child in unmarked_neighbors(s): // if a neighbor is marked, then ignore it!
if isconnected(child,t):
return true;
return false
mark可以用bool数组或者set来实现,防止重新访问,具体的例子可以参考这个demo
事实上,我们刚刚编写的这个 connected() 函数本质上是图的深度优先遍历(DFS),类似于树的 pre-order/in-order/post-order traversal。因为其遍历过程大致是这样的:
- 首先标记自己,然后访问第一个邻居
- 第一个邻居标记自己,再访问其邻居
- 邻居的邻居标记自己,继续深入
这就与树的深度优先遍历非常类似,其时间复杂度为 \(O(V+E)\),这里 \(V\) 是顶点数,\(E\) 是边数
图的深度优先遍历又可以分为 DFS Preorder(前序深度优先遍历)和 DFS Postorder(后序深度优先遍历)。
DFS Preorder是深度优先搜索的一种变体,先访问当前节点(执行动作例如print或设置 edgeTo),然后递归地遍历其未访问的邻接节点,详细过程如下:
- 从起点(根或源节点)开始,标记当前节点
- 执行动作(例如记录当前节点或者设置路径前驱)
- 递归地深入第一个未访问的邻接节点,重复上述过程
- 返回后处理下一个邻接节点
在上图中 DFS Preorder访问的顺序是0 1 2 5 4 3 6 7 8(实际上是调用 dfs 的顺序)
DFS Postorder 是深度优先搜索的另一种变体,其先递归遍历所有未访问的邻居,然后访问当前节点(执行动作),其详细过程如下:
- 从起点开始,标记当前节点
- 递归遍历所有未访问的邻居
- 返回后执行动作
在上图中 DFS PostOrder 的顺序是3 4 7 6 8 5 2 1 0(自底向上,实际上是 dfs return 的顺序)
Breadth-First Traversal¶
BST Order 是广度优先搜索的遍历顺序,其按照距离从起点向外扩展,先访问所有当前层的邻接节点,再进入下一层,可以使用队列实现,类似于树的层序遍历,详细过程如下:
- 从起点入队,标记为访问
- 出队当前节点,访问其所有未访问的邻居
- 重复直至队列为空
在上图中 BFS Order 的顺序是0 1 24 35 68 7
Tip
需要说明的是,在图的DFS或者BFS中,当一个节点有多个未访问的邻居时,如果邻居没有按照固定的顺序存储,那么算法选择下一个处理的对象的选择顺序可能是任意的,也即图遍历的顺序可能不是唯一的。对于 DFS 来说,不同顺序会改变探索的路径,但是结果(例如可达性等等)不会发生改变;BFS 不同顺序会改变层内节点访问的次序,但是最短的路径层数不会发生改变
Graph Traversal Implementations¶
Shortest Paths(最短路径问题)¶
给定一个图(无权重图),如何从起点 s 找到到所有其他节点的最短路径,需要给出通用的算法。
Tip
对于无权重图的最短路径问题,BFS 是更好的选择,因为 BFS 按距离访问节点,保证了第一个到达某个节点时的路径是最短的,天然适合最短路径问题。
对于这样的最短路径问题,使用 BFS 的算法如下:
- Initialize a queue with a starting vertex s and mark that vertex.
- Repeat until queue is empty:
- Remove vertex v from the front of the queue
- For each unmarked neighbor n of v:
- Mark n
- Set edgeTo[n] = v, (and distTo[n] = distTo[v] + 1 if we want to track distance)
- add n to end of queue.
可以查看这个demo。如果是有权图,BFS 就并不适合了,因为 BFS 实际上假设所有的边等长。
Graph API¶
接下来我们讨论如何在代码上实现图与图算法,首先我们要考虑 API(Application Programming Interface) 和用于表示图的底层数据结构,不同的选择会对时间复杂度、空间复杂度以及实现算法的难度产生深远的影响。
API 是一系列可供我们使用的方法的列表,包括方法签名以及它们行为相关的信息,对于图的 API,我们做以下约定:无论节点的原始标签是什么,我们都用整数0,1,2等等进行编号,并通过 Map<Label,Integer>映射标签到整数,从而简化实现,避免泛型的复杂性。
public class Graph{
public Graph(int V); // 构造函数,创建有 V 个节点的空图
public void addEdge(int v, int w); // 添加边 v-w(无向图,同时也添加了w-v)
Iterable<Integer> adj(int v); // 返回 v 的邻居节点迭代器
int V(); // 返回节点数
int E(); // 返回边数
...
}
对于上述 API,要求节点数 V 必须提前指定,并且其不支持节点或边权重,无直接方法获取节点的度数,需要我们手动计算,例如:
public static int degree(Graph G, int v){ // 计算节点度数
int degree = 0;
for(int w : G.adj(v)){
degree += 1;
}
return degree;
}
public static void print(Graph G){ // 打印图
for(int v = 0; v < G.V(); v += 1){
for(int w : G.adj(v)){
System.out.println(v + "-" + w);
}
}
}
Graph Representations¶
用于实现图的底层数据结构通常有三种:邻接矩阵(Adjacency Matrix)、边集(Edge Sets)、邻接表(Adjacency Lists)。
邻接矩阵使用二维的 bool 数组或 int 数组,G[w][v] == true 表示边 v-w 存在,并且对于无向图,显然邻接矩阵是一个对称阵,也即有 G[w][v] == G[v][w],而 adj(v) 的实现逻辑即返回行 v 的迭代器,扫描整行找出为 true 的值,时间复杂度为 \(\Theta(V)\) 。邻接矩阵的优点和缺点也很明显,优点是其检查边是否存在的时间复杂度为 \(\Theta(1)\),但缺点是其空间复杂度为 \(\Theta(V^2)\),在图稀疏的时候会造成很大的空间浪费。
边集意指用一个集合来存储所有的边,例如 HashSet<edge>,其中 edge 是 (int,int) 对,对于边集 adj(v) 的实现逻辑即扫描所有 \(E\) 条边,找出以 v 开头的,所以其时间复杂度为 \(\Theta(E)\),其优点在于实现简单,空间复杂度为 \(\Theta(E)\),没有太多的空间浪费,但时间复杂度较大。
邻接表这是以列表为元素的数组,数组的大小为图 \(G\) 的节点数 v,adj[v] 是节点 v 的邻居列表。adj(v) 的实现逻辑即直接返回 adj[v] 的迭代器,其时间复杂度为 \(\Theta(degree(v))\)。邻接表的优势在于其空间复杂度为 \(\Theta(V+E)\),并且邻居迭代也非常的高效,也是最常用的。通常来说,图是稀疏的,所以 \(E \ll V^2\)。
Tip
我们来详细分析一下邻接矩阵和邻接表打印所有的边的时间复杂度:
邻接矩阵
外层是 \(V\) 次循环很显然,我们主要分析一下内层的时间复杂度,这里 G.adj(v) 需要遍历所有的节点去找到 v 的邻接节点,返回迭代器,其时间复杂度为 \(\Theta(v)\),而 int w : G.adj(v) 这个 for-each loop 则需要 \(\Theta(degree(v))\) 的时间,所以对于内层循环,总时间是 \(\Theta(v)+\Theta(degree(v))\),由于 \(degree(v)\leq v\),\(\Theta(v)\) 是主导项,故内层总时间复杂度为 \(\Theta(v)\),嵌套循环的总时间复杂度为 \(\Theta(V^2)\)
邻接表
对于邻接表的情形,外层仍然是遍历 \(V\) 个节点,而内层循环 G.adj(v) 直接返回 adj[v] 的迭代器,无需进行额外的扫描,所以迭代 adj[v] 的时间复杂度为 \(\Theta(degree(v))\),又 \(\sum degree(v) = 2E\),所以内层实际上是 \(2E\) 次,总的时间复杂度为外层 \(V\) 次+内层 \(2E\) 次,即 \(\Theta(V+E)\)。对于稀疏图,\(E\ll V^2 (,通常又 \(E\approx O(V)\);对于密集图,\)E\) 接近 \(V^2\)(对完全图来说有 \(E=\frac{V(V-1)}{2}\)),此时 \(\Theta(V+E) \approx \Theta(V^20)\)
总结一下 Runtime of some basic operations for each representation:
| data structures | addEdge(s,t) | for(w:adj(v)) | print() | hasEdge(s,t) | space used |
|---|---|---|---|---|---|
| adjacency matrix | \(\Theta(1)\) | \(\Theta(V^2)\) | \(\Theta(V^2)\) | \(\Theta(1)\) | \(\Theta(V^2)\) |
| list of edges | \(\Theta(1)\) | \(\Theta(E)\) | \(\Theta(E)\) | \(\Theta(E)\) | \(\Theta(E)\) |
| adjacency list | \(\Theta(1)\) | \(\Theta(1) \sim \Theta(V)\) | \(\Theta(V+E)\) | \(\Theta(degree(v))\) | \(\Theta(E+V)\) |
一个简单的无向图的实现如下:
public class Graph{
private final int V; // final修饰代表不可改变、不可继承/重写、不能被继承
private List<Integer>[] adj;
public Graph(int V){
this.V = V;
adj = (List<Integer>[]) new ArrayList[V];
for(int v = 0; v < V; v++){
adj[v] = new ArrayList<Integer>();
}
}
public void addEdge(int v, int w){
adj[v].add(w);
adj[w].add(v);
}
public Iterable<Integer> adj(int v){
return adj[v];
}
}
Graph Traversal Implementations and Runtime¶
Decoupling Type from Processing¶
图算法常见的设计模式是将图的表示(Graph类)和处理算法(如路径查找等)解耦,避免将算法嵌入到Graph类中,而是创建一个独立的客户端类(例如Paths)来处理图:
- Create a graph object
- Pass the graph to a graph-processing method(or constructor) in a client class.
- Query the client class for information
例如:
public class Paths{
public Paths(Graph G,int s): // Find all paths from G
boolean hasPathTo(int v): // is there a path from s to v
Iterable<Integer> pathTo(int v): // path from s to v(if any)
}
然后我们可以像这样调用:

这样的解耦使得Graph类保持简单,只需要负责表示图,而算法逻辑则移到客户端类中,便于扩展不同的算法
DepthFirstPaths Implementations and runtime¶
DFS 算法使用递归实现,目的是从起点 s 找到到达每个可达定点的路径,并使用两个数组来存储结果:
boolean[] marked:marked[v] = true表示v与s连通(已访问)int[] edgeTo:edgeTo[v]=w表示路径上的v的前一个顶点是w
其示例代码如下:
public class DepthFirstPaths{
private boolean[] marked;
private int[] edgeTo;
private int s;
public DepthFirstPaths(Graph G, int s){
// 初始化 marked 和 edgeTo 数组,长度均为 V
marked = new boolean[G.V()];
edgeTo = new int[G.V()];
this.s = s;
dfs(G,s); // 以 s 为起点进行 DFS
}
void dfs(Graph G, int s){
marked[s] = true;
for(int w : G.adj(s)){
if(marked[w] == true){
continue;
}
edgeTo[w] = s; // 记录路径
dfs(G,w); // 递归访问
}
}
public boolean hasPathTo(int v){
return marked[v];
}
public Iterable<Integer> pathTo(int v){
if(!hasPathTo(v)){
return null;
}
List<Integer> path = new ArrayList<>();
for(int x = v; x != s; x = edgeTo[x]){ // 从v回溯到s,构建列表
path.add(x);
}
path.add(s);
Collections.reverse(path); // 反转列表
return path;
}
}
下面我们分析DFS的时间复杂度,如果我们是基于邻接表的,可以给出构造函数的一个时间复杂度上界 \(O(V+E)\),这是因为每个节点至多访问一次(\(O(V)\)次dfs调用),每个边也至多访问两次(marked[w]检查),有人可能会提出这样一个问题,我们在dfs调用的时候访问的节点之间肯定是存在边的,所以dfs调用次数 $\leq $ E,那我们是否能给一个更紧的上界 \(O(E)\) 呢?这是不行的,因为构造函数会初始化 marked 数组,将 \(V\) 个元素置为 false,时间复杂度为 \(\Theta(V)\)。DFS 的空间复杂度为 \(\Theta(V)\),因为需要长度为 \(V\) 的数组存储信息。
注意
需要注意的是,时间为 \(O(V+E)\),不能说是 \(\Theta(V+E)\),例如无边的孤立图就是 \(O(V)\)
BreadthFirstPaths Implementations and runtime¶
BFS 使用队列来实现层级遍历,找到以 s 为起点到每个可达节点的最短路径,同样使用 marked 和 edgeTo 数组,使用迭代实现
public class BreadthFirstPaths{
private boolean[] marked;
private int[] edgeTo;
private int s;
public BreadthFirstPaths(Graph G,int s){
this.s = s;
marked = new boolean[G.V()];
edgeTo = new int[G.V()];
bfs(G,s)
}
private void bfs(Graph G, int s){
Queue<Integer> fringe = new LinkedList<>();
fringe.add(s); // enqueue
marked[s]=true;
while(!fringe.isEmpty()){
int v = fringe.poll(); // dequeue
for(int w : G.adj(v)){
fringe.add(w);
marked[w] = true;
edgeTo[w] = v;
}
}
}
}
查询方法和DFS相同,如果必要的话我们还可以添加 distTo 数组来跟踪距离(distTo[w] = distTo[v] + 1),其时间复杂度为 \(O(V+E)\),类似DSF,\(O(V)\) 次 dequeue,\(O(E)\) 次 marked 检查;空间复杂度为 \(\Theta(V)\)
总结一下,对于 DFS 和 BFS有如下表格:
| Problem | Problem Description | Solution | Efficiency(adj. list) |
|---|---|---|---|
| s-t Paths | Find a path from s to every reachable vertex | DFS | \(O(V+E)\) time \(\Theta(V)\) space |
| s-t shortest paths | Find a shortest path from s to every reachable vertex | BFS | \(O(V+E)\) time \(\Theta(V)\) space |
如果采用的是邻接矩阵的话,时间复杂度都变为 \(O(V^2)\)